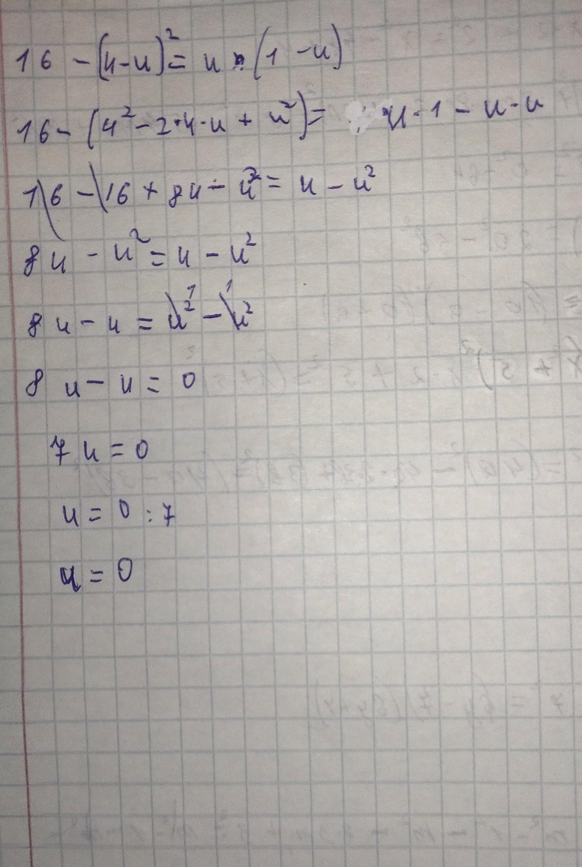
решите уравнение
16-(4-u)²=u(1-u)
только можете пожалуйста расписывать полностью решение а не только ответ тема:Формула сокращённого умножения. Буду благодарна!
tttedd:
добре, починаю робити
Ответы
Ответ дал:
1
Ответ:
відповідь подана на фотографії
Объяснение:
якщо є якісь питання, питайся
Приложения:

Вас заинтересует
2 года назад
2 года назад
8 лет назад
8 лет назад
9 лет назад