• Предмет: Алгебра
  • Автор: Yuriy26
  • Вопрос задан 11 лет назад

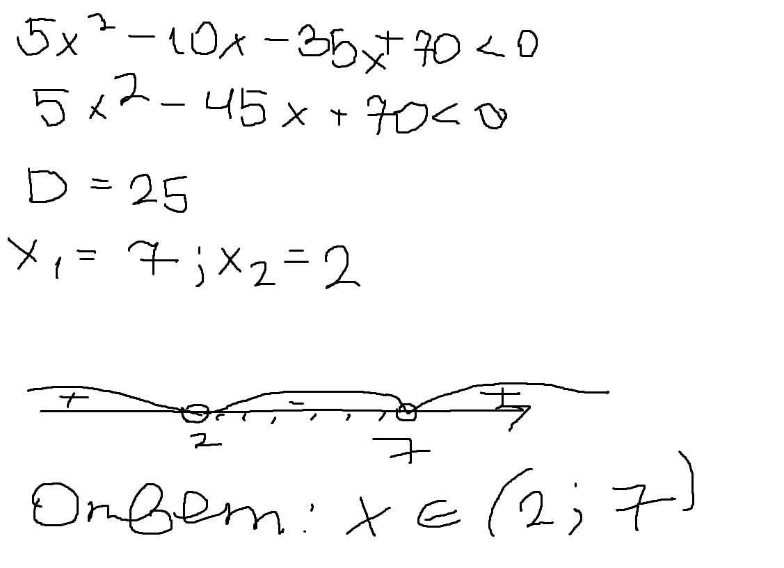
Решите неравенство 5(X-7)(X-2)<0

Ответы

Ответ дал: ФуфумеС
0

Неравенство решается методом интервалов.

5(X-7)(X-2)<0

(X-7)(X-2)<0  Рассмотрим: у =(X-7)(X-2)  D(y) = (-infty; +infty)

                                        нули:x_{1} = 7;  x_{2} = 2

Строим прямую:

Получаем: х принадлежит промежутку (2;7)

Ответ дал: ShutUp
0

все вернно должно быть наверное

 

Приложения:
Вас заинтересует