• Предмет: Математика
  • Автор: dulukkeja
  • Вопрос задан 7 лет назад


- (x + 5) + 2x = 0
Решите уравнение

Ответы

Ответ дал: YAKUDZA18
1

Ответ:

вот ответ сделай пожалуйста лучшим

Приложения:

dulukkeja: Сейчас сделаю лучшим, когда эта кнопка появится
dulukkeja: Всё
YAKUDZA18: спасибо большое
Ответ дал: NataMon
1

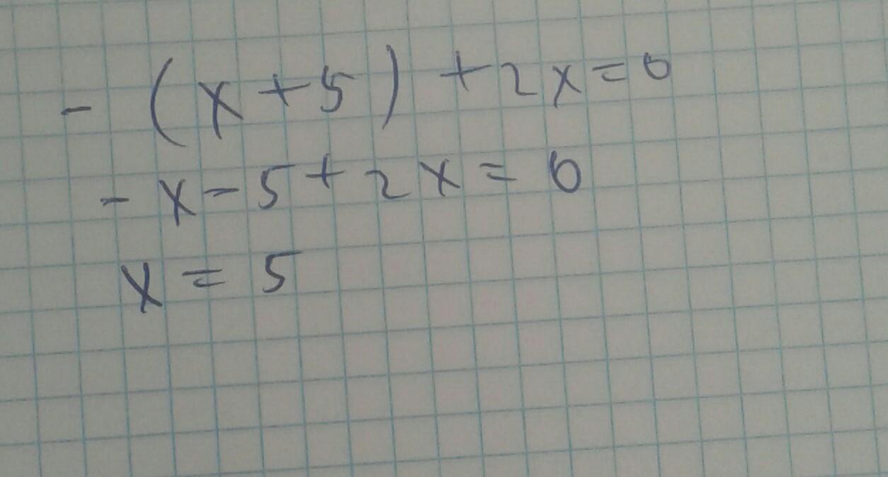
Ответ:

х = 5

Пошаговое объяснение:

- (x + 5) + 2x = 0

-х - 5 + 2х = 0

х - 5 = 0

х = 5

-----

-(5+5) + 2*5 = -10 + 10 = 0

Вас заинтересует