• Предмет: Алгебра
  • Автор: cebupel880
  • Вопрос задан 7 лет назад

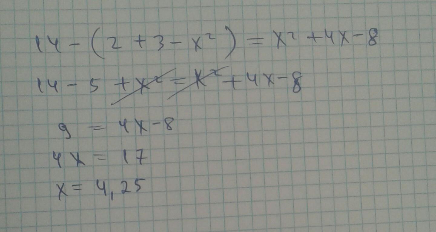
решите уравнение 14-(2+3-x²) =x²+4x-8​

Ответы

Ответ дал: YAKUDZA18
1

Ответ:

вот ответ сделай пожалуйста лучшим

Приложения:
Ответ дал: SirWallon
1

14 - (2 + 3 -  {x}^{2} ) =  {x}^{2}  + 4x - 8

14 - 2 - 3 +  {x}^{2}  =  {x}^{2}  + 4x - 8

 {x}^{2}  -  {x}^{2}  - 4x =  - 8 - 14 + 2 + 3

 - 4x =  - 17

x =  \frac{ - 17}{ - 4}

x =  \frac{17}{4}

x = 4.25

Вас заинтересует