• Предмет: Математика
  • Автор: zavarina17
  • Вопрос задан 7 лет назад

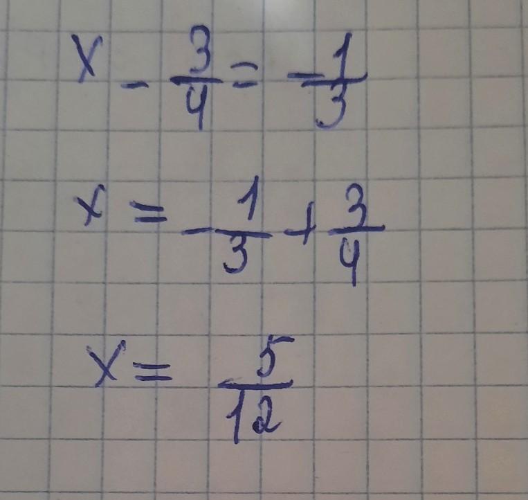
Найди решение уравнения: x - 3/4 = - 1/3​

Приложения:

Ответы

Ответ дал: usurbakievamahiram
1

Пошаговое объяснение:

я думаю что этот ответ правельный

Приложения:

violet2307: да правильно у меня тоже так получилось
zavarina17: да, спасибо
Ответ дал: qweRTY220220
1

Ответ:

х=5/12

довольно тяжёлый пример, долго решать


zavarina17: спасибо
Вас заинтересует