Ответы
Ответ дал:
0
Ответ:
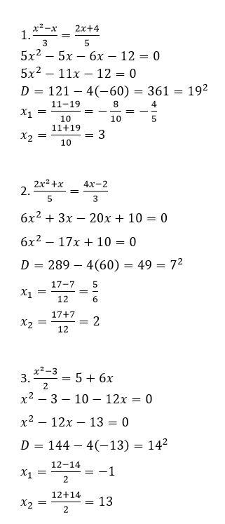
1) -4/5 , 3
2) 5/6 , 2
3) -1 , 13
Объяснение:
Приложения:

Ответ дал:
0
Ответ:
Зайдите в фотографию там есть ответ
Приложения:

Вас заинтересует
2 года назад
2 года назад
2 года назад
2 года назад
8 лет назад