• Предмет: Математика
  • Автор: yalimizhka
  • Вопрос задан 7 лет назад

ТЕКСТ ЗАДАНИЯ
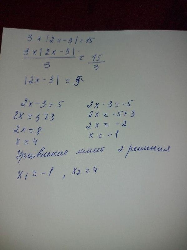
Решите уравнение: 3| 2х-3) =15
а
л

Приложения:

Ответы

Ответ дал: shavaevaveronika1003
1

Ответ:

Пошаговое объяснение:

Приложения:
Вас заинтересует