• Предмет: Алгебра
  • Автор: lizabulkina245
  • Вопрос задан 7 лет назад

Алгебра 8 класс помогите!! ​

Приложения:

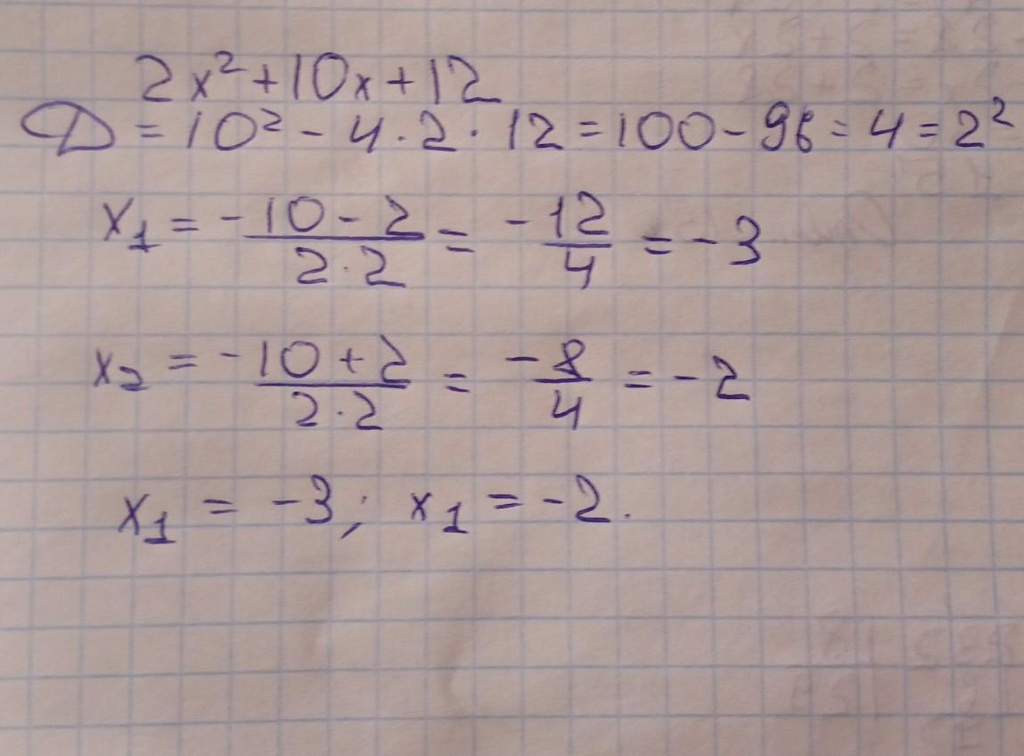
Ответы

Ответ дал: mikak61423
1

Ответ:

можно лучший ответ, пожалуйста

Приложения:

lizabulkina245: спасибо, придёт уведомление поставить лучший ответ поставлю, ещё раз Спасибо большое)
mikak61423: ❤️
Вас заинтересует