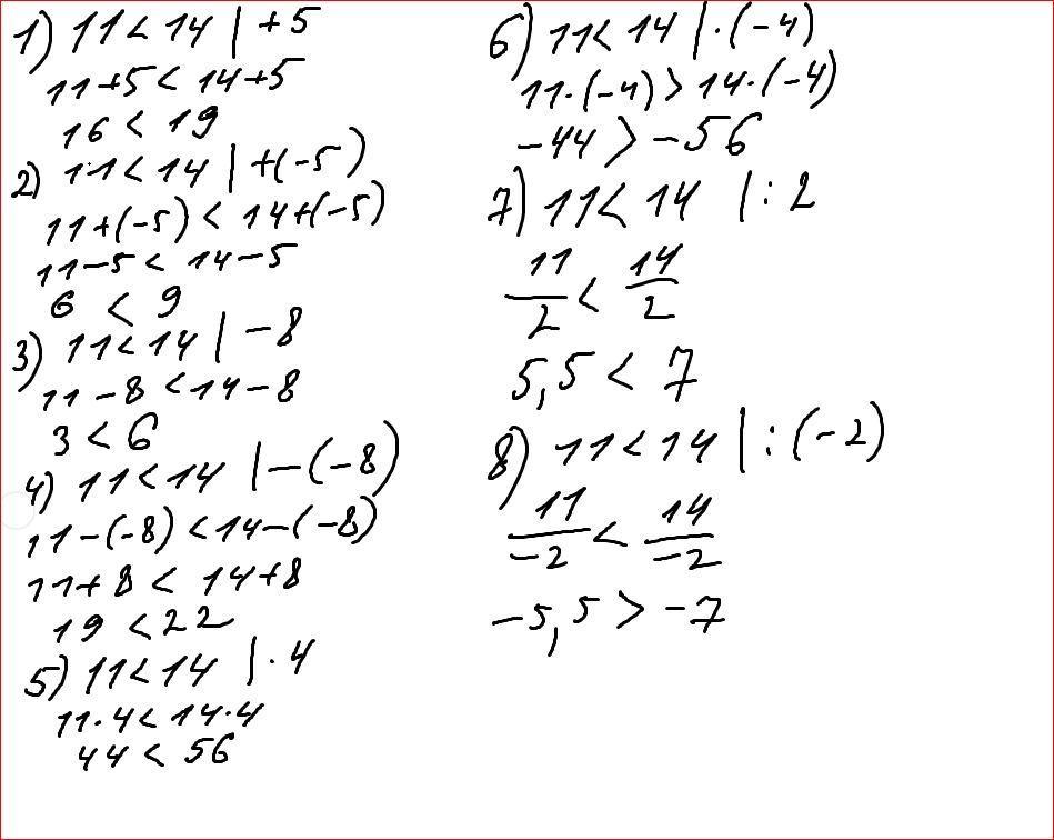
Дано неравенство 11 < 14
1.Прибавьте к обеим частям неравенства число 5
2. Прибавьте к обеим частям неравенства число (-5)
3.Вычесть из обеих частей неравенства число 8
4. Вычесть из обеих частей неравенства число (-8)
5.Умножьте обе части неравенства на число 4
6, Умножьте обе части неравенства на число (-4)
7. Разделите обе части неравенства на число 2
8. Разделите обе части неравенства на число (-2)
Ответы
Ответ дал:
0
Ответ:
Пошаговое объяснение:
Приложения:

Вас заинтересует
2 года назад
2 года назад
2 года назад
8 лет назад
9 лет назад