Записать уравнение химической реакции, с помощью которых можно осуществить превращения:
Приложения:

Ответы
Ответ дал:
0
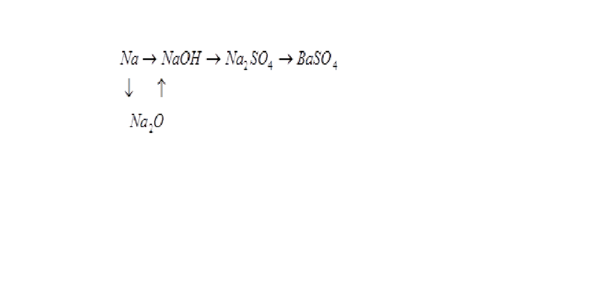
1. 4Na+O2=2Na2O
2. 2Na+2H2O=2NaOH+H2
3. Na2O+H2O=2NaOH
4. 2NaOH+CaSO4=Na2SO4+Ca(OH)2
5. Na2SO4+BaO=BaSO4+Na2O
с тебя спасибка)))
2. 2Na+2H2O=2NaOH+H2
3. Na2O+H2O=2NaOH
4. 2NaOH+CaSO4=Na2SO4+Ca(OH)2
5. Na2SO4+BaO=BaSO4+Na2O
с тебя спасибка)))
Вас заинтересует
2 года назад
2 года назад
8 лет назад
8 лет назад
10 лет назад
10 лет назад
10 лет назад