• Предмет: Алгебра
  • Автор: arem15251
  • Вопрос задан 7 лет назад

Помогите пожалуйста!! Даю 25 баллов

Приложения:

Ответы

Ответ дал: mary4kaa
0

Ответ:

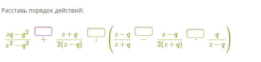
Сначала умножение в скобках, затем минус, затем деление и плюс

Вас заинтересует