• Предмет: Алгебра
  • Автор: skavroviktoria
  • Вопрос задан 7 лет назад

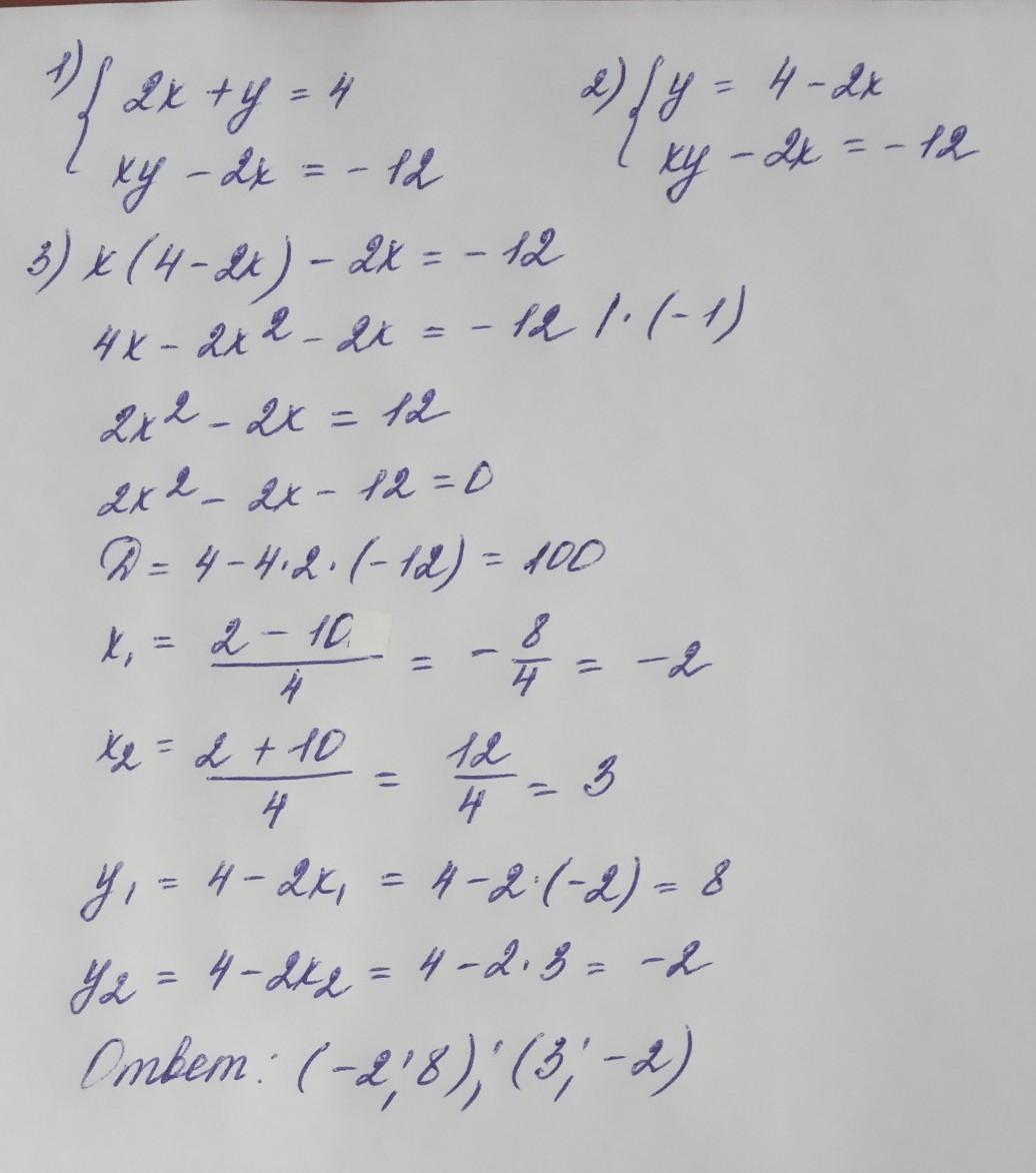
розвяжіть систему рівнянь способом підстановки 2x+y=4 ; xy-2x=-12
помогите!!!!​

Ответы

Ответ дал: gavgav3445
1

Ответ: решение данной системы уравнений предоставлено на фотографии

Приложения:
Вас заинтересует