Ответы
Ответ дал:
0
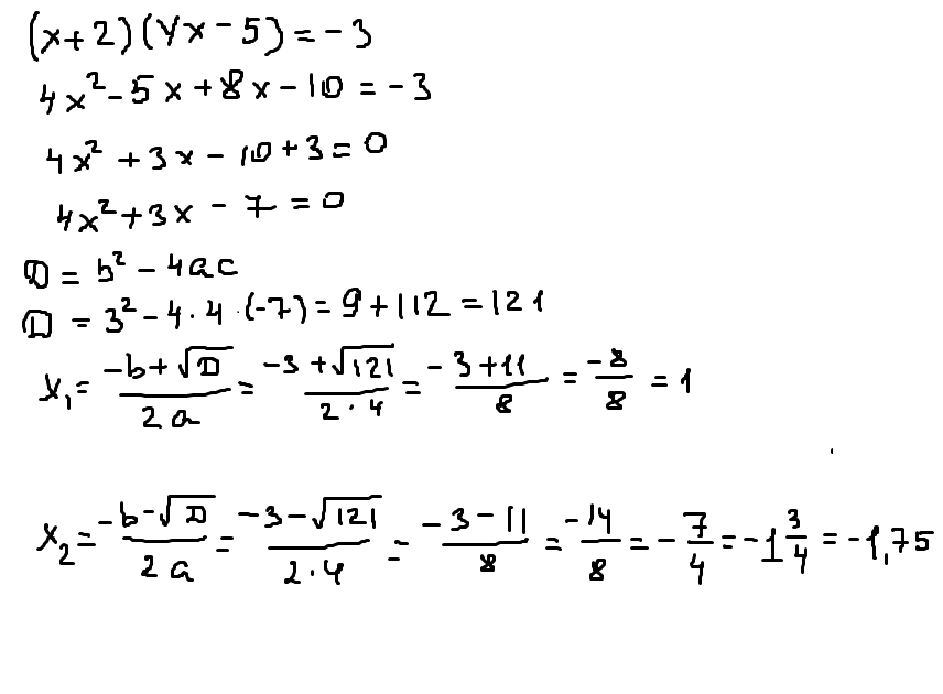
4х²-5х+8х-10=-3
4х²+3х-10=-3
4х²+3х=7
4*(х*х)+3х=7
(х*х)+3х=3
3х²+3х²=7
а дальше сам
4х²+3х-10=-3
4х²+3х=7
4*(х*х)+3х=7
(х*х)+3х=3
3х²+3х²=7
а дальше сам
Ответ дал:
0
Если понравилось решение - нажимай "спасибо" и "лучший" (рядом с кнопкой "спасибо") :)
Приложения:

Вас заинтересует
2 года назад
2 года назад
10 лет назад
10 лет назад