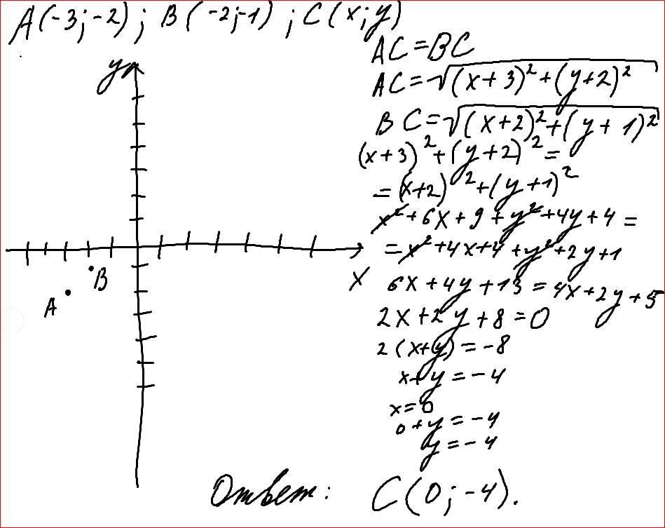
две точки заданы координатами на координатной плоскости (-3; -2) (-2; -1) найди координаты точки равно удалённой от заданных и принадлежащий оси ординат
Срочно!
sinch:
(-3; -2) (2; -1)
Ответы
Ответ дал:
0
Ответ:0 и -4
Пошаговое объяснение: в прикреплённом файле
Приложения:

Вас заинтересует
2 года назад
2 года назад
2 года назад
2 года назад
8 лет назад
8 лет назад
9 лет назад