• Предмет: Алгебра
  • Автор: Аноним
  • Вопрос задан 7 лет назад

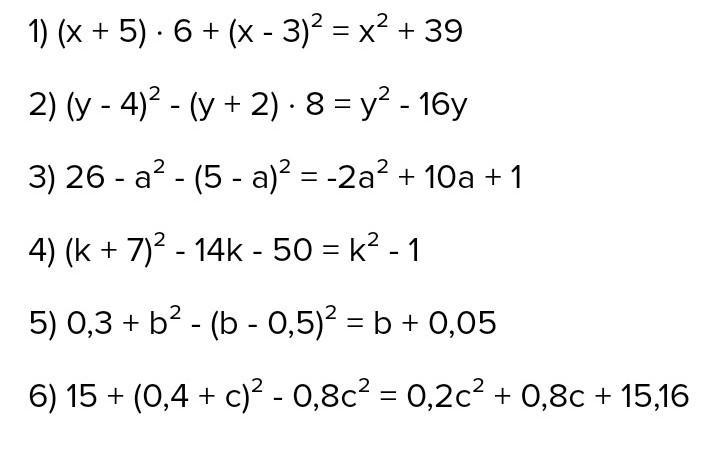
выражения (328-32.10): 32.8.1) (x + 5) 6+ (x - 3)"; 2) (-4)-(y + 2) - 8; 3) 26 - а - (5 – а); 4) (+7) - 14k - 50; 5) 0,3 + be-(6-0,5): 6) 15 + (0.4 + c) 0.8e 1) 4.​

Ответы

Ответ дал: tamarabespalova957
2

Ответ:

................. .... . . .. . .. . . . . . . . . . . . .

Объяснение:

... . .. .. . . . . . . . . . . . . . . . . . .. . . . .

Приложения:

tamarabespalova957: мем специально для тебя
samoilovaalina073: для тебя
deadnote01: спасибо за мемы ты легенда )
Вас заинтересует