• Предмет: Математика
  • Автор: kalm2mal
  • Вопрос задан 7 лет назад

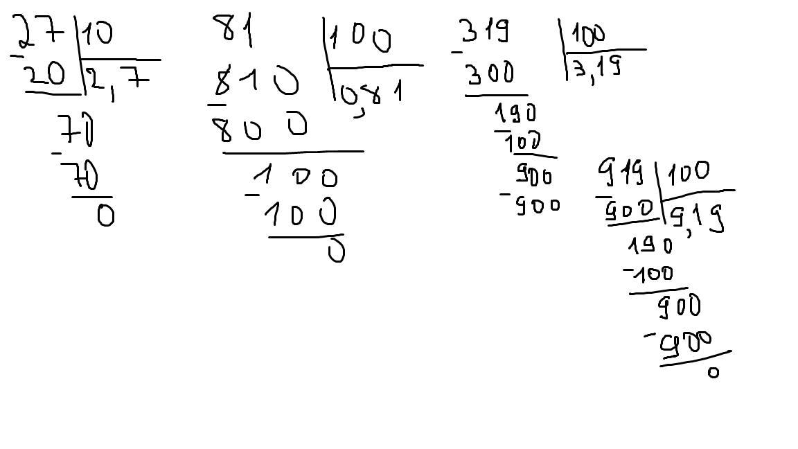
1. Запишите в виде десятичных дробей частное: 27:10; 81:100; 319:100; 919: 100​

Ответы

Ответ дал: lizavito
0

Ответ:

Пошаговое объяснение:

27:10=2,7

81:100=0,81

319:100=3,19

919: 100​=9,19

Ответ дал: mousevu1tton
0

Соярн что так долго, просто думал сначала написать в блокноте текстом:

Приложения:
Вас заинтересует