• Предмет: Алгебра
  • Автор: valyadobrova
  • Вопрос задан 7 лет назад

Помогите пожалуйста
Тема:квадратные уравнения
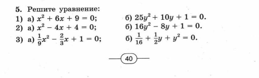
Упражнение 5

Приложения:

Ответы

Ответ дал: arsentiy23
0

Ответ:

vghhh

Объяснение:

1)-3

2)-2

3)3

4)-1/5

5)4

6)-4

Вас заинтересует