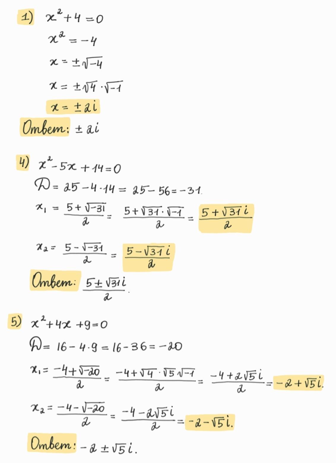
Помогите пожалуйста с алгеброй!!!!!! Очень надо!!!!!!!! Номер 18.1 (1, 4, 5)
Найдите корни квадратного уравнения:
11 КЛАСС КТО ЗНАЕТ ОТВЕТ!!!!!! Заранее спасибо за помощь по алгебре!!!!!!
Приложения:

Ответы
Ответ дал:
2
~~~~~~~~~~~~~~~~~~~~
Приложения:

Вас заинтересует
2 года назад
2 года назад
8 лет назад
8 лет назад
9 лет назад