Ответы
Ответ дал:
0
Ответ:
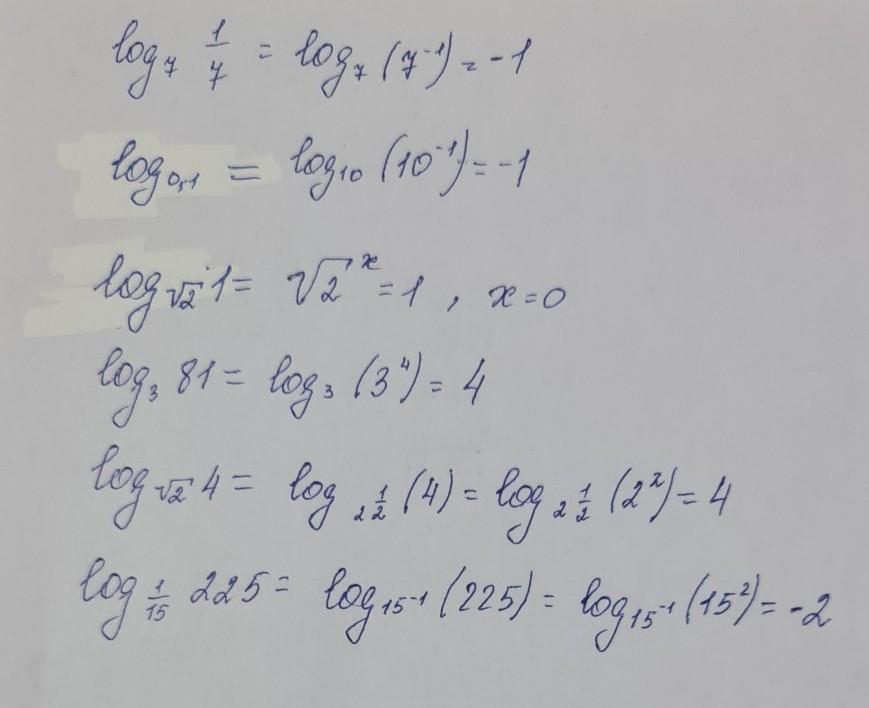
19. -1
20. 0
21. -1
22. 4
23. 4
24. -2
Ответ дал:
1
Объяснение:
___________________________________
Приложения:

Вас заинтересует
2 года назад
2 года назад
2 года назад
8 лет назад
8 лет назад
9 лет назад