• Предмет: Математика
  • Автор: govnaevaveronika
  • Вопрос задан 7 лет назад

Помогите, дам 15 баллов

Приложения:

Ответы

Ответ дал: salakhovmatvey
1

Ответ:

Пошаговое объяснение:

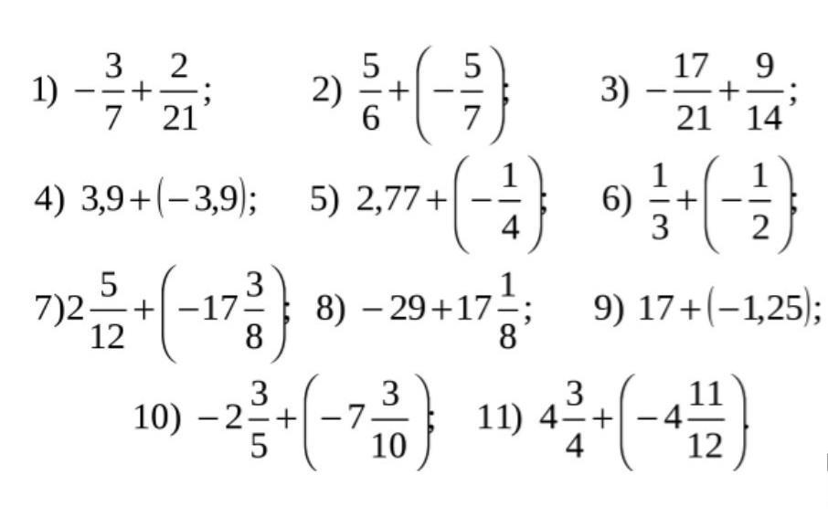
1.) -3/7+2/21=2/21-9/21=-7/21

2.) 5/6 - 5/7 = 35/42 - 30/42 = 5/42

3.) -17/21 + 9/14 = -34/42 + 27 /42 = -7/42

4.) 3,9 - 3,9 = 0 ;)

5.) 2,77 - 1/4 = 2,77-0,25=2,52

6.) 1/3 - 1/2 = 2/6 - 3/6 = -1/6

7.) 2 5/12 - 17 3/8 = 2 10/24 - 17 9/24 = -14 23/24

8.) -29 + 17 1/8= -11 7/8

9.) 17 - 1,25 = 15,75

10.) -2 3/5 - 7 3/10= -2 6/10 - 7 3/10= -9,9

11.) 4 3/4 - 4 11/12= 4 9/12 - 4 11/12=-2/12= -1/6

Вас заинтересует