• Предмет: Алгебра
  • Автор: stelkillker
  • Вопрос задан 7 лет назад

1. Подайте у вигляді многочлена вираз: 1) (a + 7)"; 3) (m – 6) (m+6); 2) (3х – 4у2; 4) (5а + 86) (8- 5а).​

Ответы

Ответ дал: tarasgavrot
2

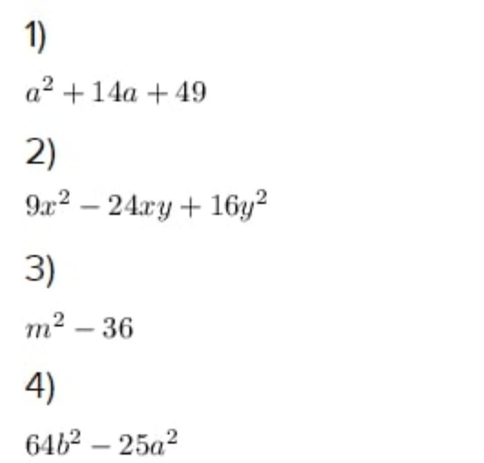
Відповідь:

1)

a^{2}+14a+49

2)

9x^{2}-24xy+16y^{2}

3)

m^{2}-36

4)
64
b^{2}-25a^{2}


tarasgavrot: дайте коронку
tarasgavrot: Кращих відповідей
tarasgavrot: коронку
tarasgavrot: ну пж
stelkillker: спасибо большое
stelkillker: я дала корону
tarasgavrot: Спасибо)
Ответ дал: vladislavproniv3006
2

Объяснение:пж дайте коронку

Приложения:

vladislavproniv3006: дайте корону пожалуста
Вас заинтересует