• Предмет: Алгебра
  • Автор: DRAGONDULL
  • Вопрос задан 7 лет назад

Даю 60 балов, срочно прошу, надо решить 2-б, 3, 4

Приложения:

Ответы

Ответ дал: MrRuke12
1

Ответ:

решения на картинках

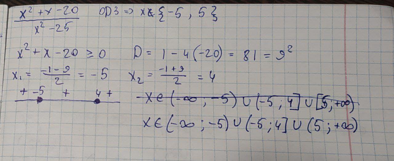
для 4 задания ответы: 2, 3, 4, 5, 6, 7

Объяснение:

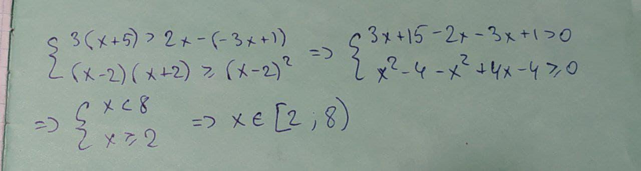
1 картинка - 3 задание

2 картинка - 4 задание

3 картинка - 2 б

Приложения:

DRAGONDULL: сделай пж еще 5 задание
DRAGONDULL: накину еще балов
MrRuke12: так и быть
DRAGONDULL: жди у меня в профиле новой вопрос
DRAGONDULL: вопрос задан
DRAGONDULL: ну же ты где, прошу срочно сделать
MrRuke12: доделываю
Вас заинтересует