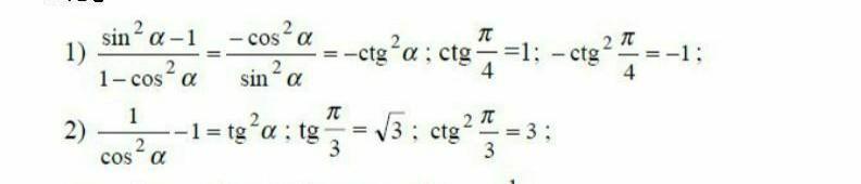
Упростите выражение и найдите его числовое значение
решите 1) и 2)
:)
Приложения:

gulicham16:
nechinchi misol
Ответы
Ответ дал:
1
Ответ:
:)))))))))))))))))))))))
Приложения:

Вас заинтересует
2 года назад
8 лет назад
9 лет назад
9 лет назад