ХЭЛП ДАМ 40 БАЛЛОВ
Найдите расстояние между точками А и В, если А -середина отрезка с концами в точках C (-2) и D(4), а В — середина отрез- ка с концами в точках М(-3) и N(-5).
Ответы
Ответ дал:
1
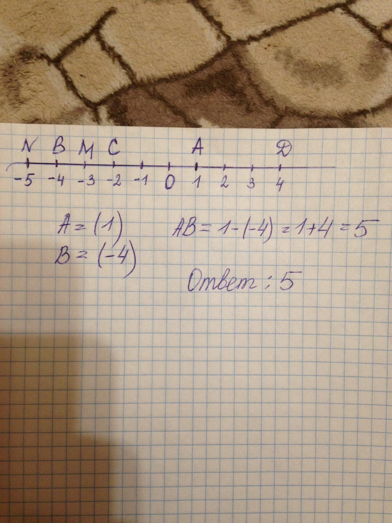
Ответ:
5
Пошаговое объяснение:
Середина между -2 и 4 это 1, середина между -3 и -5 это -4, следовательно
-4 -3 -2 -1 0 1
от -4 до 1, 5 точек.
yaran28:
спасибо
Ответ дал:
0
Ответ:
Пошаговое объяснение:
Приложения:

Вас заинтересует
2 года назад
2 года назад
8 лет назад
9 лет назад
9 лет назад