• Предмет: Математика
  • Автор: liliacaric
  • Вопрос задан 7 лет назад

Помогите пожалуйста!!
2sin x + 3cos x / 3sin x - cos x, якщо tg x= 2

Ответы

Ответ дал: azizoveduard47
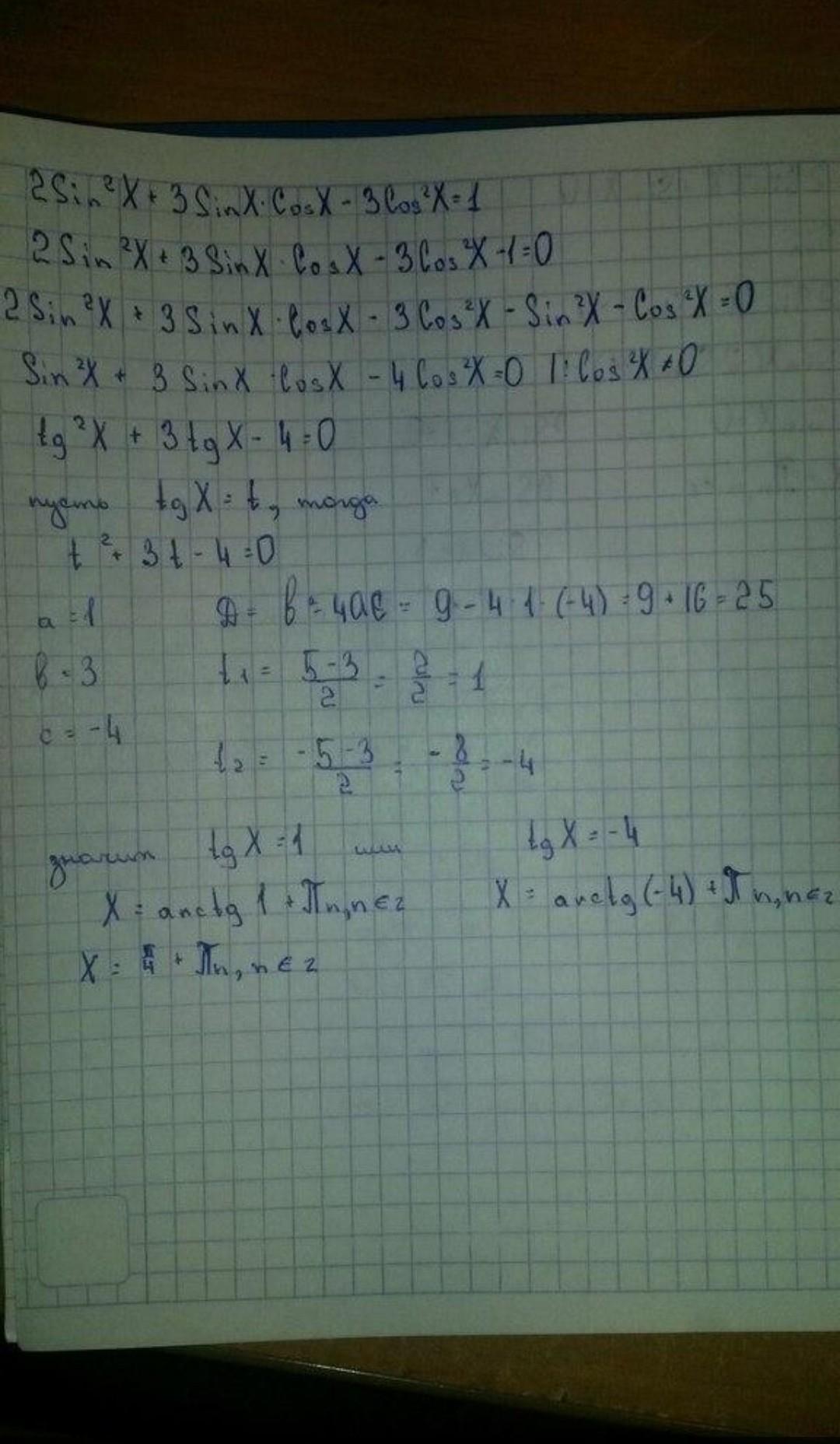
1

Ответ:

Вот

Пошаговое объяснение:

Поставь Лутший ответ пожалуйста

Приложения:
Вас заинтересует