Ответы
Ответ дал:
0
Ответ:
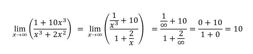
предел этой функции, при х стремящимся к бесконечности равен 10
Объяснение:
при подстановке бесконечности в исходное выражение получается неопределенность типа ∞/∞ , поэтому делим числитель и знаменатель на x с наибольшей степенью - 3 и вычисляем предел
Приложения:

Вас заинтересует
2 года назад
2 года назад
2 года назад
8 лет назад
8 лет назад
9 лет назад
9 лет назад