• Предмет: Алгебра
  • Автор: tradecenter13
  • Вопрос задан 7 лет назад

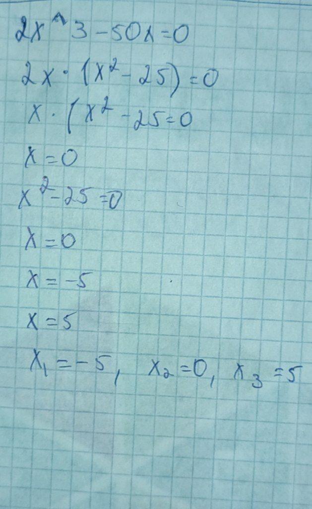
Вкажіть корінь рівняння 2x^3 -50x = 0
(^ - степінь)

Ответы

Ответ дал: eminaaydin8
2

Объяснение:

вооооот !!!!!

.

.

.

.

..

........

удачи

Приложения:
Ответ дал: NNNLLL54
0

Ответ:

Раскладываем левую часть равенства на множители .

2x^3-50x=0\\\\2x\cdot (x^2-25)=0\qquad \quad \boxed{\ a^2-b^2=(a-b)(a+b)\ }\\\\2x\cdot (x-5)(x+5)=0\\\\a)\ \ x_1=0\\\\b)\ \ x-5=0\ \ ,\ \ x_2=5\\\\c)\ \ x+5=0\ \ ,\ \ x_3=-5\\\\Otvet:\ x_1=0\ ,\ x_2=5\ ,\ x_3=-5\ .

Вас заинтересует