• Предмет: Математика
  • Автор: kiry05
  • Вопрос задан 7 лет назад

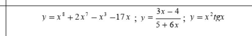
ДАЮ 80 БАЛЛОВ!!! упростите 3 функции, используя формулы производной

Приложения:

Ответы

Ответ дал: TypaSevik
0

Ответ:

*умножение) ^обозначает что цифра над знаком) /дробь)

y`=d/dx(x^8=2x^7-x^3-17x)

y`=d/dx(x^8)+d/dx(2x^7)-d/dx(x^3)+d/dx(3-17x)

y`=8x^7+14x^6-3x^2-17

y`=d/dx(3x-4/5=6x)

y`=3(5=6x)-(3x-4)*6/(5+6x)^2

y`=39/(5+x)^2


kiry05: что такое d?
TypaSevik: мы взяли производную от обеих частей
Вас заинтересует