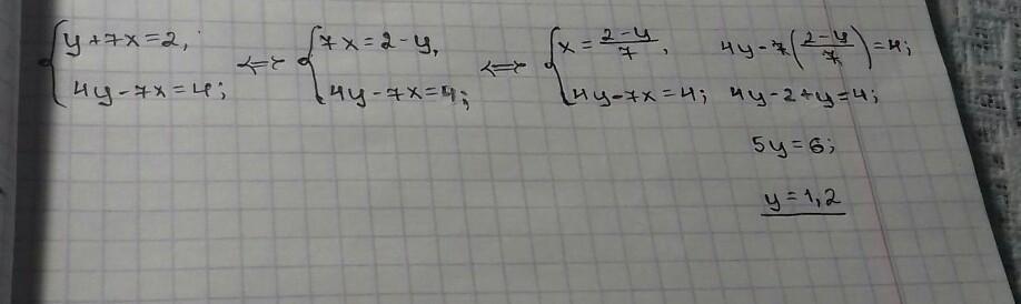
дана система двух линейных уравнений
y+7x=2
4y-7x=4
найдите значение переменной y ответ в виде десятичной дроби
Ответы
Ответ дал:
4
Приложения:

liza200893:
спасибо!!!
Ответ дал:
0
Ответ:
Объяснение:
y+7x=2
4y-7x=4
------------
складываем
5y = 6; ⇒ y = 6:5 = 1,2
Ответ: 1,2
Вас заинтересует
2 года назад
2 года назад
2 года назад
2 года назад
8 лет назад
8 лет назад