Помогите пожалуйста! Срочно нужно решить уравнения по алгебре!!! Только пожалуйста подробнее решение!!!
Приложения:


Ответы
Ответ дал:
1
Ответ:
1)-0,2;0;0,2
2) 20
3) 6
Объяснение:
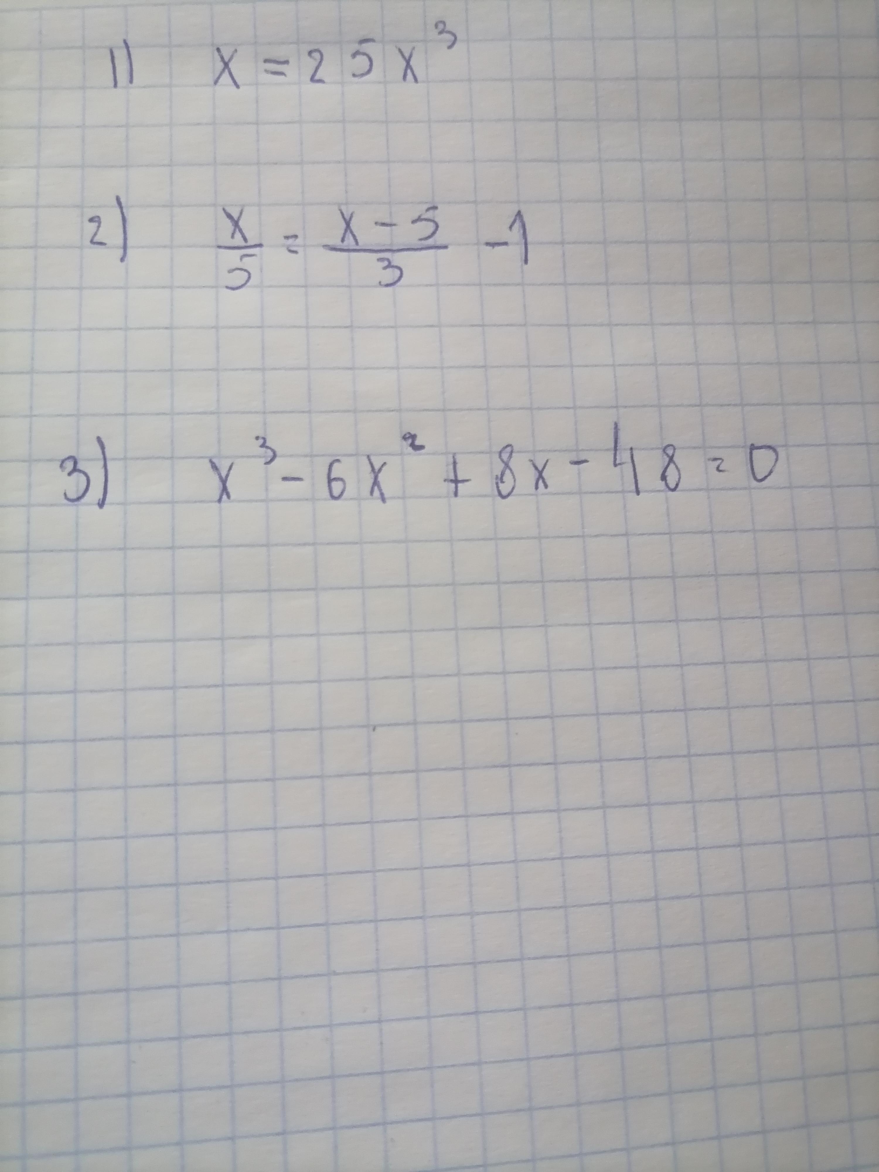
1) х=25х^3
х-25х^3=0
x(1-25x^2)=0
Произведение = 0, если хотя бы 1 из множителей = 0
x=0 или 1-25x^2=0
x=0 или 25х^2=1
х=0 или х^2=1/25=0.04
х=0 или х=+-1/5=+-0.2
2)Домножим на 15
3х=5(х-5)-15
3х=5х-25-15
-2х=-40
х=20
3) Вынесем множители, сгруппируем
х^2(х-6)+8(х-6)=0
(х^2+8)(х-6)=0
Произведение = 0, если хотя бы 1 из множителей = 0
х^2+8=0 или х-6=0
х^2=-8 или х=6
нет корней или х=6
Вас заинтересует
2 года назад
2 года назад
2 года назад
2 года назад
8 лет назад
8 лет назад
9 лет назад
9 лет назад