• Предмет: Математика
  • Автор: cigilovaelizaveta
  • Вопрос задан 7 лет назад

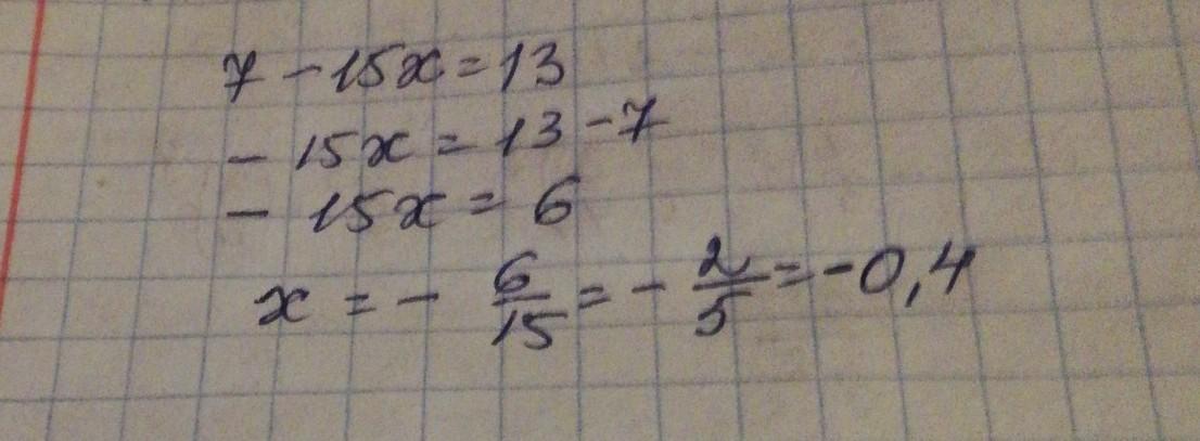
Решите уравнение: 7– 15x = 13
Помогите

Ответы

Ответ дал: vanya00007
0

Ответ:

x = - 0,4

Пошаговое объяснение:

7 - 15x = 13

15x = 7 - 13

15x = - 6

x = -6 ÷ 15

x = - 0,4


larisaserova53: В условии после = стоит 13
Ответ дал: larisaserova53
0

Ответ:

Смотри решение на фото..

Приложения:
Вас заинтересует