СРОЧНО ПАЖАЛУЙСТА РЕШИТЕ С ДАНО И ЧЕРТЁЖОМ
Приложения:
lenaandreevala:
Там точно именно на 3 см? А площадь в метрах?
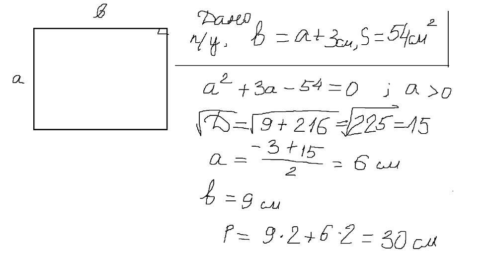
a= b+3см
S=54см^2
S=54см^2
Найти: а,в,p=?
Ответы
Ответ дал:
2
Через квадратное уравнение.
Приложения:
Вас заинтересует
2 года назад
2 года назад
3 года назад
3 года назад
9 лет назад
9 лет назад
10 лет назад
10 лет назад