• Предмет: Математика
  • Автор: dindindonkizaru
  • Вопрос задан 7 лет назад

помогите пожалуйста я поставлю как лучший ответ !​

Приложения:

Ответы

Ответ дал: ivanivanov200200200
1

Ответ:

Пошаговое объяснение:

Приложения:
Ответ дал: mergaliyevamilana
0

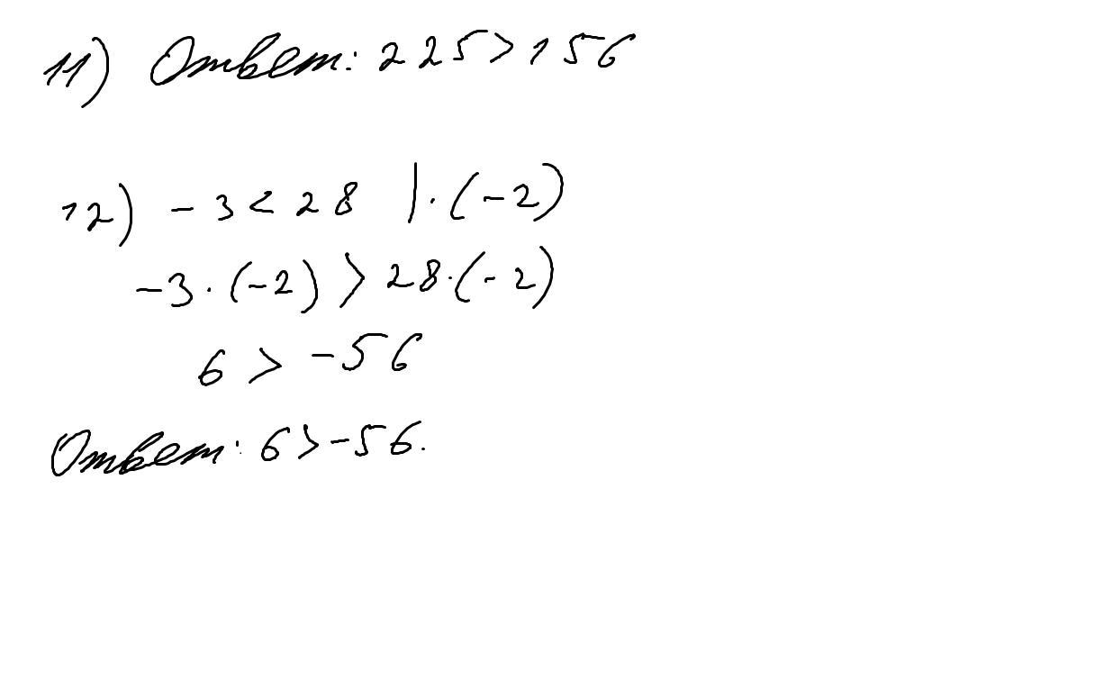
Ответ:

11) 225 > 156 (строгие - со знаком > или <)

12) 6 > - 56

Вас заинтересует