Ответы
Ответ дал:
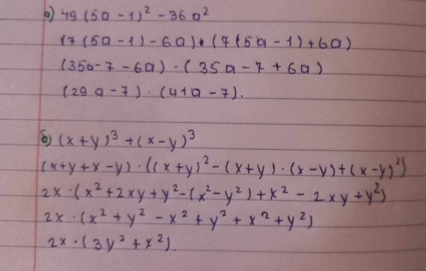
1
Ответ:
вот ответ☆ тебе удачи♡!!!!
Приложения:

nsorohov187:
спасибо
Вас заинтересует
2 года назад
2 года назад
2 года назад
2 года назад
8 лет назад
8 лет назад
9 лет назад
9 лет назад