• Предмет: Математика
  • Автор: hasym2010
  • Вопрос задан 7 лет назад

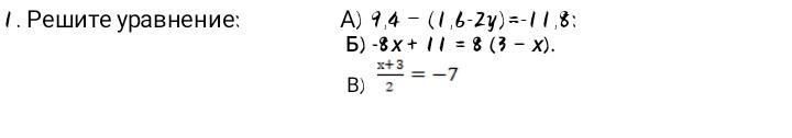
5) -8x + 11 = 8 (3-X). x+3 B) 2 :- пожалуйста быстрее

Приложения:

Ответы

Ответ дал: safonovasa
0
-8х+11=24-8х
Сокращаем 8х
11=24
Неверно

hasym2010: Можно нормально
Вас заинтересует