• Предмет: Математика
  • Автор: valeriazirenkova
  • Вопрос задан 7 лет назад

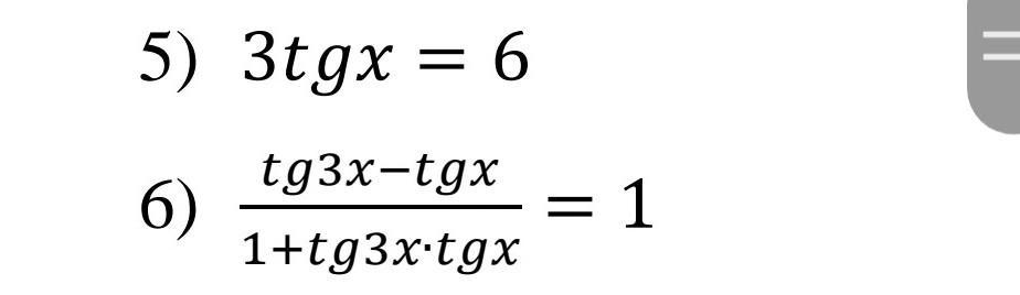
решить уравнения.... ​

Приложения:

Ответы

Ответ дал: sangers1959
1

Пошаговое объяснение:

\frac{tg(3x)-tg(x)}{1+tg(3x)*tg(x)} =tg(3x-x)=tg(2x).


valeriazirenkova: Спасибо!!!! там ещё одно есть...))
Вас заинтересует