• Предмет: Математика
  • Автор: valeriazirenkova
  • Вопрос задан 7 лет назад

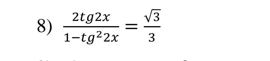
решите уравнение, пожалуйста ​

Приложения:

Ответы

Ответ дал: rimamo134
1

Ответ:в прикреплённом файле

Пошаговое объяснение:

Приложения:

valeriazirenkova: там есть ещё задание в профиле, посмотрите пожалуйста если не сложно...)
Вас заинтересует