• Предмет: Алгебра
  • Автор: arsold773
  • Вопрос задан 7 лет назад

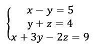
Решить систему уравнений:

Приложения:

Ответы

Ответ дал: Adelya1230
0

Ответ:

\left \{ {{x-y=5} \atop {y+z=4}}\left \{ {{x=5+y} \atop {z=4-y}} \right.5+y+3y-2(4-y)=9\\5+y+3y-8+2y=9\\6y=12\\y=2\\z=2\\x=7

Объяснение:

Вас заинтересует