• Предмет: Алгебра
  • Автор: arsold773
  • Вопрос задан 7 лет назад

Очень срочно, даю 60 баллов
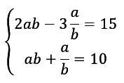
Решите систему уравнений методом замены:

Приложения:

arsold773: У меня еще 2 вопроса в профиле. Помогите с ними тоже.

Ответы

Ответ дал: msart
1

Ответ:

a=+-3

б=+-3

Объяснение:

Пусть ab=x a/b=y

2x-3y=15

x+y=10

тогда выводим x через у

x=10-y

тогда

20-2y-3y=15

-5y=-5

y=1

x=9

Отсюда имеем вторую ситему

ab=9

a/b=1

со   второго  уравнения имеем a=b(домнажаем на б)

a^2=9

a=+-3

б=+-3

Вас заинтересует