Ответы
Ответ дал:
3
Ответ:
Объяснение:
Условие:
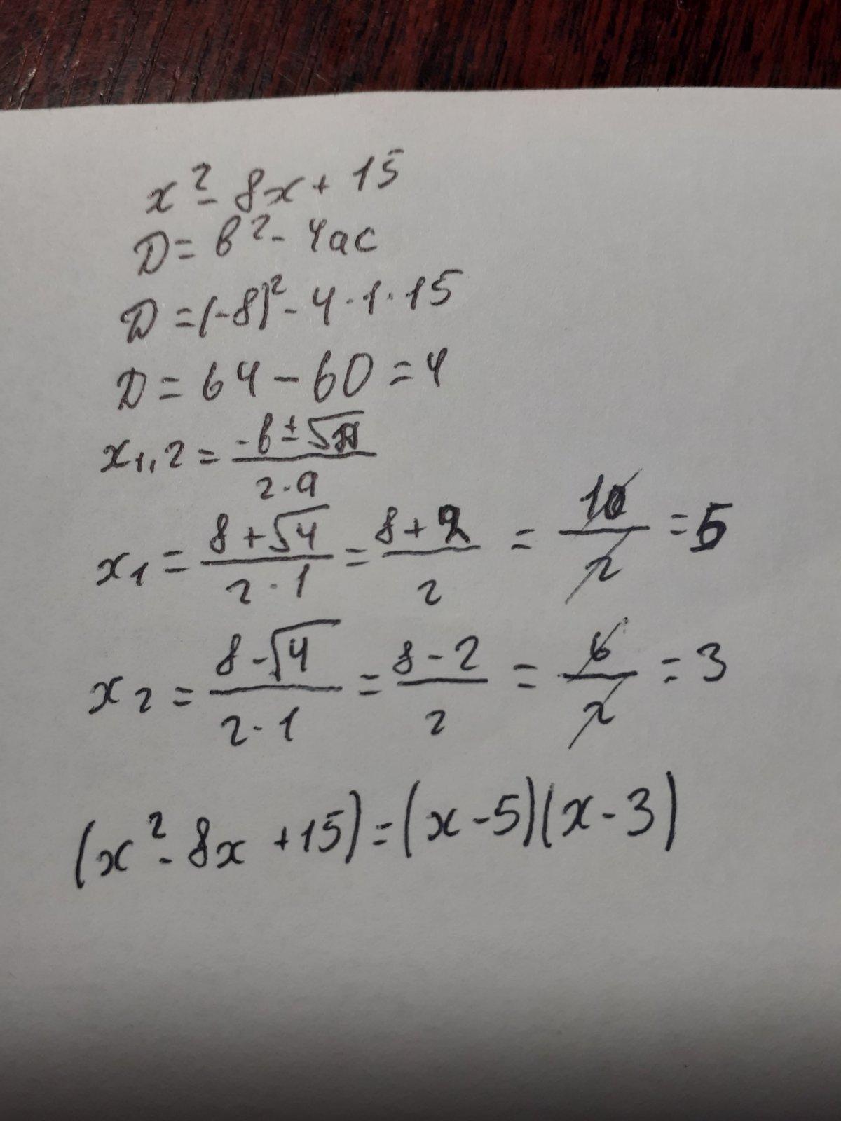
розкласти квадратний тричлен на множники: x²- 8x + 15 =
Ключевые слова:
Квадратные уравнения, разложение на множители, квадратный трехчлен
Ответ дал:
2
Відповідь:
Пояснення:
Приложения:

Вас заинтересует
2 года назад
2 года назад
2 года назад
8 лет назад
8 лет назад