• Предмет: Химия
  • Автор: hellomay679
  • Вопрос задан 7 лет назад

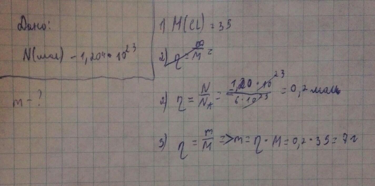
Обчислити масу хлору, якщо кількість молекул становить 1,204.1023.

Ответы

Ответ дал: mayklmaers0
0

Ответ:

вишло 7

пж если ответ правильний поставь 5 звьозд

Приложения:
Вас заинтересует