• Предмет: Математика
  • Автор: anarmustafaev0
  • Вопрос задан 7 лет назад

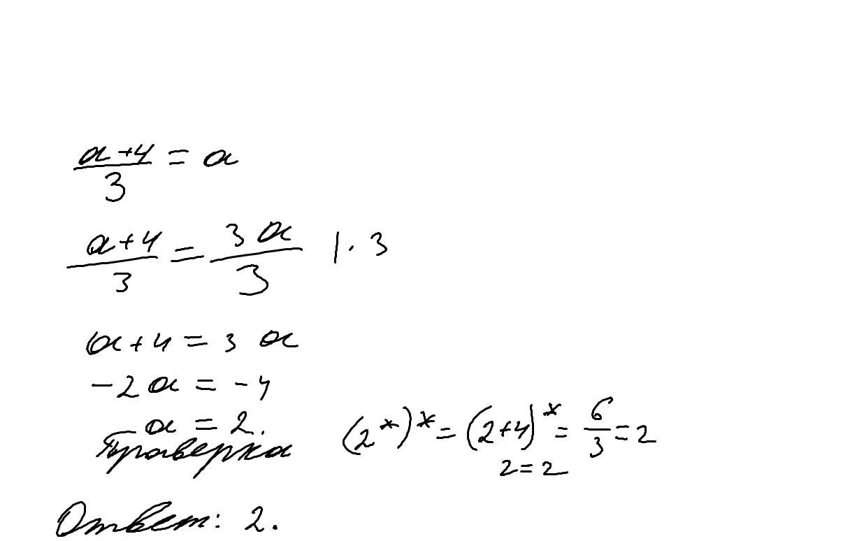
Для любого натурального числа символом * обозначена такая операция, что
x∗ =x/3 , если x кратно 3-м.
x∗ = x+ 4, если x не кратно 3-м.

Натуральное число a не кратно 3-м. Чему равно a∗, если (a∗)∗ = a

Приложения:

Ответы

Ответ дал: ivanivanov200200200
1

Ответ:

Пошаговое объяснение:

Приложения:
Вас заинтересует