• Предмет: Алгебра
  • Автор: TypayaaKarinaa
  • Вопрос задан 7 лет назад

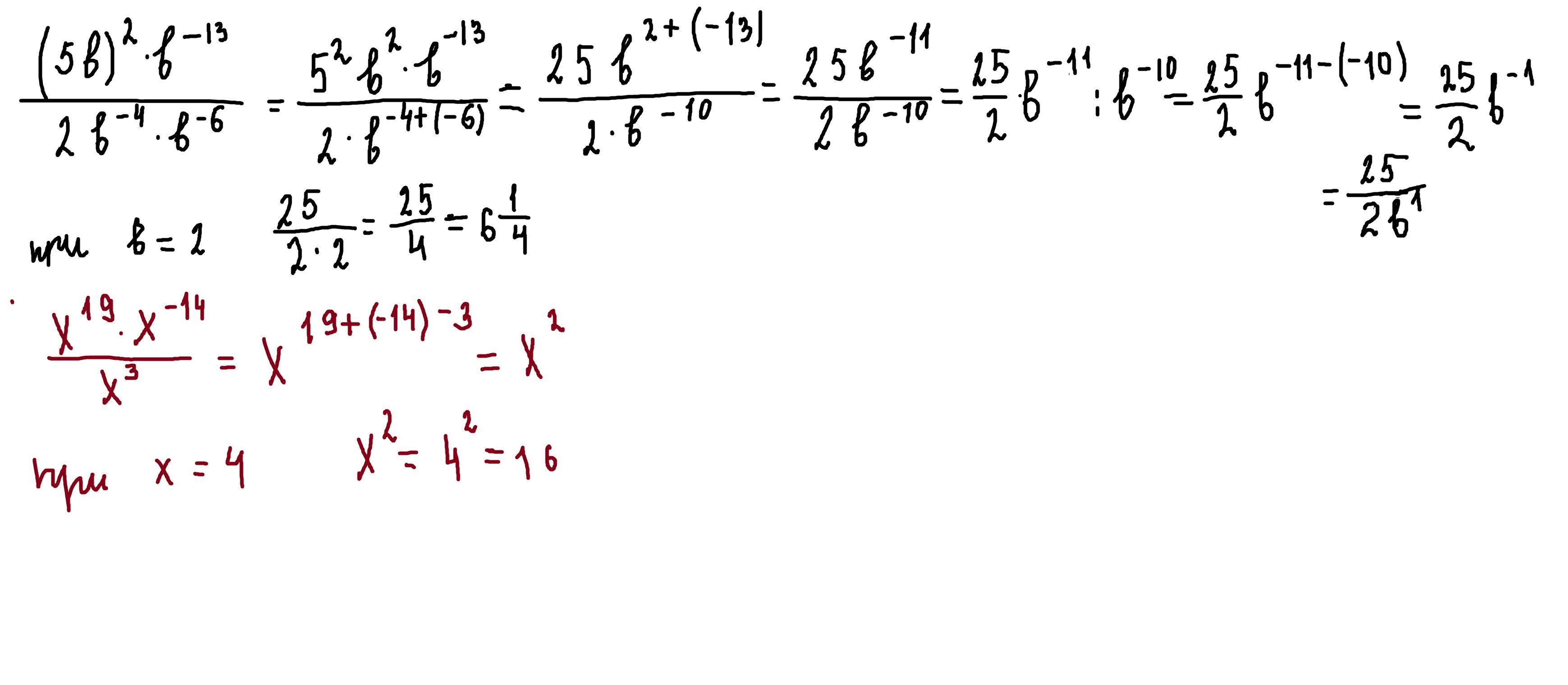
Помогите пожалуйста решить эти два выражения

Приложения:

Ответы

Ответ дал: parus77
1

Ответ:

Объяснение:

решение внизу,при умножении степеней с одинаковыми основаниями показатели складываются,а при делении-вычитаются.

Приложения:

TypayaaKarinaa: Спасибо!!
parus77: пожалуйста
Вас заинтересует