• Предмет: Алгебра
  • Автор: nunu16032009
  • Вопрос задан 7 лет назад

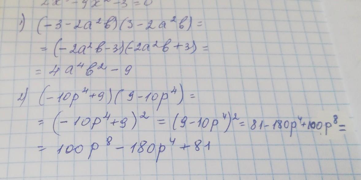
Запишите выражение в виде многочленов

а) (-3-2а²b)(3-2a²b)
б)(-10p⁴+9)(9-10p⁴)​

Ответы

Ответ дал: larisaserova53
0

Ответ:

Смотри решение на фото...

Приложения:
Вас заинтересует