• Предмет: Математика
  • Автор: Rey646
  • Вопрос задан 7 лет назад

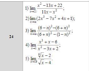
ПОМОГИТЕ ПОЖАЛУЙСТА ДАЮ 100 БАЛЛОВ ЗА РЕШЕНИЕ

Приложения:

Ответы

Ответ дал: Аноним
0

Ответ:

во вложении

Пошаговое объяснение:

там же

Приложения:
Вас заинтересует