Ответы
Ответ дал:
2
Ответ:
Пошаговое объяснение:
Приложения:
Ответ дал:
1
Ответ:
Пошаговое объяснение:
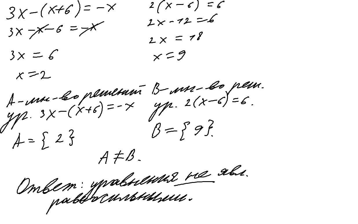
3х - (х + 6) = --х
3х - х - 6 = - х
2х - 6 = - х
2х + х = 6
3х = 6
х = 6 : 3
х = 2
2(х - 6) = 6
2х - 12 = 6
2х = 6 + 12
2х = 18
х = 18 : 2
х = 9
Ответ: нет, эти уравнения не равносильны
Пошаговое объяснение:
3х - (х + 6) = --х
3х - х - 6 = - х
2х - 6 = - х
2х + х = 6
3х = 6
х = 6 : 3
х = 2
2(х - 6) = 6
2х - 12 = 6
2х = 6 + 12
2х = 18
х = 18 : 2
х = 9
Ответ: нет, эти уравнения не равносильны
shakh8887:
здравствуйте iramizirk помогите пожалуйста
извиняюсь вы iramazurk
помогите пожалуйста
Вас заинтересует
2 года назад
3 года назад
3 года назад
9 лет назад
9 лет назад
10 лет назад