• Предмет: Алгебра
  • Автор: vikalkaliyn2008ska
  • Вопрос задан 7 лет назад

Розкладіть на множники:
16m - mn {}^{2}

Ответы

Ответ дал: gavgav3445
1

Ответ:

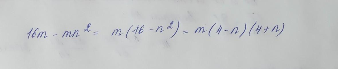
Решение представлено на прикрепленной фотографии.

Приложения:
Ответ дал: OblivionFire
2

Ответ:

16m-mn²=m(16-n²)=m(4²-n²)=m(4-n)(4+n)

Объяснение:

вынести общий множитель за скобки

применили формулу разности квадратов

Вас заинтересует