• Предмет: Алгебра
  • Автор: kor387692
  • Вопрос задан 7 лет назад

алгебра 7 класс помогите ​

Приложения:

Ответы

Ответ дал: parus77
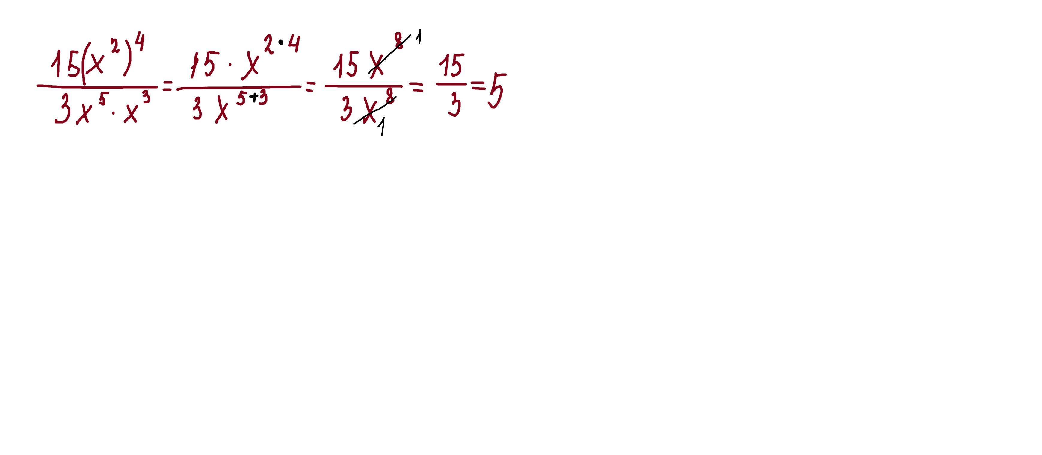
1

Ответ:

5

Объяснение:

решение внизу

при возведении степени в степень  показатели перемножаются,при умножении степеней с одинаковым основанием -показатели складываются,при делении-вычитаются.

Приложения:
Ответ дал: OblivionFire
2

Ответ:

 \displaystyle \frac{15 \times (x {}^{2}) {}^{4}  }{3x {}^{5} \times x {}^{3}  }  =  \frac{15 \times x {}^{2 \times 4} }{3 \times x {}^{5 + 3} }  =  \frac{15x {}^{8} }{3x {}^{8} }  =  \frac{15}{3}  = 5.

Объяснение:

Надо знать свойства степеней,которые даны на фото.

Приложения:
Вас заинтересует