• Предмет: Алгебра
  • Автор: kruglovmaksim19
  • Вопрос задан 7 лет назад

Помогите пожалуйста!!! Прошу

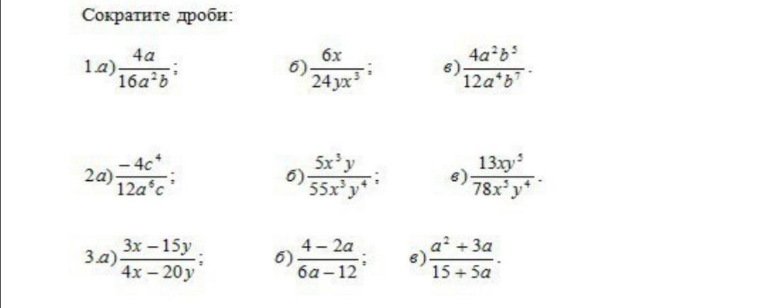
Приложения:

Ответы

Ответ дал: nastenawwwu99
1

1) a/4ab 2) x/4yx² 3) 1/3a²b² 4)-c³/3a⁶ 5)1/11y³ 6)y/6x⁴ 7)3/4 8) -1/3 9) -3

Вас заинтересует