• Предмет: Математика
  • Автор: maksan197707
  • Вопрос задан 7 лет назад

Срочно помогите дам 25 баллов​

Приложения:

Ответы

Ответ дал: elagolturenko
0

Ответ:

×=2

Пошаговое объяснение:

7(2х+1)+5(3х+1)=70

14х+7+15х+5=70

29х+12=70

29х=70-12

29х=58


maksan197707: а можешь на б ответить?
elagolturenko: ок
elagolturenko: б 4(2х-3)-3 (×+2)=5 8х-12-3х-6=5 5х-18 =5 5х=5+18 5х=23 ответ 23/5
Ответ дал: ludmilaksenija2005
1

Пошаговое объяснение:

4

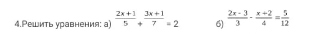
а)

(2х+1)/5 +(3х+1)/7 =2

7(2х+1)+5(3х+1)=35×2

14х+7+15х+5=70

29х+12=70

29х=70-12

29х=58

Х=2

б)

(2х-3) /3 - (х+2)/4=5/12

8(2х-3)-6(х+2)=10

16х-24-6х-12=10

10х-36=10

10х=10+36

10х=46

Х=4,6

Вас заинтересует